Chất lượng điện năng đang được quan tâm và ưu tiên hàng đầu trong các ngành công nghiệp nhằm đảm bảo quá trình hoạt động của hệ thống sản xuất cũng như trong hệ thống giám sát tại nhà máy. Ngày nay, méo sóng hài là hiện tượng thường xuyên xảy ra trong hệ thống điện, nó là một yếu tố quan trọng trong việc đảm bảo chất lượng điện năng. Hãy cùng Tesfa tìm hiểu về sóng hài và những tác hại của nó qua bài viết dưới đây.
Danh mục bài viết
Sóng hài là gì?
Sóng hài là một dạng sóng nhiễu không mong muốn, nó gây hại và ảnh hưởng trực tiếp đến hệ thống điện năng. Trong hệ thống điện được thiết kế để hoạt động ổn định ở tần số cụ thể (thường là 50Hz), nhưng trong quá trình truyền tải điện năng thì các thành phần sóng bậc cao được sinh ra và hòa vào hệ thống điện do các phụ tải phi tuyến, chúng kết hợp với tần số cơ bản làm méo mó biến dạng sóng của hệ thống phân phối.

Sóng hài được tính như nào?
Đặc điểm của sóng hài là bội số của tần số cơ bản. Ví dụ như trong hệ thống điện 50Hz, sóng hài bậc 5 sẽ có tần số 250Hz, sóng hài bậc 7 sẽ có tần số 350Hz…
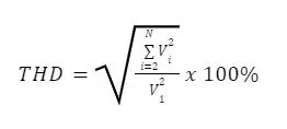
Tổng biến dạng sóng hài điện áp là tỷ lệ giữa giá trị hiệu dụng của sóng hài điện áp với giá trị hiệu dụng của điện áp ở bậc cơ bản được tính theo công thức sau:

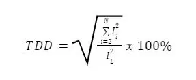
Tổng biến dạng sóng hài dòng điện là tỷ lệ giữa giá trị hiệu dụng của sóng hài dòng điện với giá trị hiệu dụng của dòng điện bậc cơ bản ở chế độ phụ tải, công suất phát cực đại được tính theo công thức sau:

Nguyên nhân sinh ra Sóng hài
Nguyên nhân chính sinh ra sóng hài là do các phụ tải phi tuyến trong hệ thống điện như lò nung cao tần, biến tần, các thiết bị điện tử công suất, hệ thống đèn chiếu sáng sử dụng công nghệ LED hay huỳnh quang, máy tính, hệ thống UPS… Những tải phi tuyến này là một phần không thể thiếu trong các nhà máy sản xuất, chúng là yếu tố chính gây ra méo mó, biến dạng sóng sin.



Tiêu chuẩn quy định
Sóng hài là một yếu tố quan trọng làm giảm chất lượng điện của hệ thống cũng như gây thiệt hại đến các thiết bị khác trong nhà máy sản xuất, nên ở Việt Nam và trên thế giới đã đưa ra nhiều tiêu chuẩn đánh giá mức độ nghiêm trọng về sóng hài. Một trong các tiêu chuẩn này là tiêu chuẩn IEEE 519 của Viện Kỹ Thuật Điện – Điện Tử, Hòa Kỳ và tiêu chuẩn theo Thông tư số TT30/2019/TT-BCT của Bộ Công Thương. Các tiêu chuẩn được quy định như sau:
| Tiều chuẩn | Biến dạng sóng hài điện áp | Biến dạng sóng hài dòng điện |
TT30 BCT VN | 8% | 12% |
IEEE 519 | 8% | 5% |
Tác hại của sóng hài
Sóng hài là dạng nhiễu không mong muốn ảnh hưởng trực tiếp đến chất lượng điện năng, xuất hiện khi sử dụng những tải không tuyến tính và ảnh hưởng rất xấu đến những thiết bị, máy móc được sử dụng trong nhà máy như:
- Giảm tuổi thọ động cơ.
- Quá tải CB, quá nhiệt và gây cháy nổ máy biến áp.
- Máy cắt, Aptomat, cầu chì có thể bị tác động mà không rõ nguyên nhân.
- Giảm tuổi thọ tụ bù, thậm chí gây nổ tụ bù bất thường.
- Gây nhiễu ảnh hưởng đến các thiết bị viễn thông, hệ thống tự động hóa.
- Các thiết bị đo hoạt động không chính xác.
- Gây lãng phí năng lượng…










